Land Use Land Cover Maps

Keywords: data used; ESRI Land Cover, datasets; io_lulc_v2, data used; ESA WorldCover, datasets; esa_worldcover_2020 data used; Copernicus Global Land Service, Land Use/Land Cover at 100 m, datasets; cgls_landcover data used; ESA Climate Change Initiative Land Cover, datasets; cci_landcover

Background

Land Use/Land Cover (LULC) maps classify land into broad categories such as water, crops, or built area. They are useful for visualising the dominant land uses in a given area. The total area or proportion of different classes can also be calculated for a specified area.

Many organisations publish LULC maps. DE Africa provides access to the Environmental Systems Research Institute (Esri)/Impact Observatory (IO) land use/land cover (LULC), European Space Agency (ESA) WorldCover, Copernicus Global Land Service (CGLS) Land Use/Land Cover at 100 m, and ESA Climate Change Initiative (CCI) land cover. The ESRI/IO and ESA products are derived from ESA Sentinel imagery and are available at 10 m resolution annually from 2017, 2020 and 2021 respectively over the entire African continent. The CGLS product is available at 100 m resolution, is updated annually and is currently available from 2015 to 2019. The ESA CCI landcover product is available at 300 resolution, is updated annually and is currently available from 1992 to 2022.

The accuracy of landcover maps changes with location and class, so its important to understand the quality of the maps. ESRI publishes information on the accuracy of the 2020 (10 class version) LULC product, which is neatly summarised in the confusion matrix located here. The overall accuracy for all classes is 85 %. Keep in mind that the accuracy statistics in the link are for the globe and not specific to Africa.

ESA’s WorldCover product comes with an in-depth report on the quality of the product, which we will not reproduce here. However, the full product validation report can be found using the following link: https://esa-worldcover.org/en/data-access. The overall accuracy of the 2020 product for Africa is 73.6%, and it improved to 76.5% in 2021.

The Copernicus Global Land Cover 100m product has a scientific publication exploring the accuracy of the annual landcover maps. The overall accuracy for Africa is ~80 %.

Important details:

  • Classes and values

io_lulc value

io_lulc class

esa value

esa class

cgls value

cgls class

cci value

cci class

0

no data

0

no data

0

no data

0

no data

1

water

10

tree cover

20

shrubs

10

cropland, rainfed

2

trees

20

shrubland

30

herbaceous vegetation

11

cropland, rainfed, herbaceous cover

3

not used

30

grassland

40

cultivated and managed vegetation or agriculture

12

cropland, rainfed, tree or shrub cover

4

flooded vegetation

40

cropland

50

urban or built up

20

cropland, irrigated or post-flooding

5

crops

50

built up

60

bare or sparse vegetation

30

mosaic cropland/natural vegetation

6

not used

60

bare/sparse vegetation

70

snow and ice

40

mosaic natural vegetation/cropland

7

built area

70

snow and ice

80

permanent water bodies

50

tree cover, broadleaved, evergreen, closed to open

8

bare ground

80

permanent water bodies

90

herbaceous wetland

60

tree cover, broadleaved, deciduous, closed to open

9

snow/ice

90

herbaceous wetland

100

moss and lichen

61

tree cover, broadleaved, deciduous, closed

10

clouds

95

mangroves

111

closed forest, evergreen needle leaf

62

tree cover, broadleaved, deciduous, open

11

rangeland

100

moss and lichen

112

closed forest, evergreen broad leaf

70

tree cover, needleleaved, evergreen, closed to open

113

closed forest, deciduous needle leaf

71

tree cover, needleleaved, evergreen, closed

114

closed forest, deciduous broad leaf

72

tree cover, needleleaved, evergreen, open

115

closed forest, mixed

80

tree cover, needleleaved, deciduous, closed to open

116

closed forest, unknown

81

tree cover, needleleaved, deciduous, closed

121

open forest, evergreen needle leaf

82

tree cover, needleleaved, deciduous, open

122

open forest, evergreen broad leaf

90

tree cover, mixed leaf type

123

open forest, deciduous needle leaf

100

mosaic tree and shrub/herbaceous cover

124

open forest, deciduous broad leaf

110

mosaic herbaceous cover/tree and shrub

125

open forest, mixed

120

shrubland

126

open forest, unknown

121

shrubland, evergreen

200

open sea

122

shrubland, deciduous

130

grassland

140

lichens and mosses

150

sparse vegetation

151

sparse tree

152

sparse shrub

153

sparse herbaceous cover

160

tree cover, flooded, fresh or brakish water

170

tree cover, flooded, saline water

180

shrub or herbaceous cover, flooded, fresh/saline/brakish water

190

urban areas

200

bare areas

201

consolidated bare areas

202

unconsolidated bare areas

210

water bodies

220

permanent snow and ice

  • Time range and spatial resolution

io_lulc

esa_worldcover

cgls_landcover

cci_landcover

Time-range

2017-2023

2020-2021

2015-2019

1992-2022

Spatial resolution

10m

10m

100m

300m

Description

In this notebook we will load LULC data using dc.load() to return a map of land use and land cover classes for a specified area.

Topics covered include:

  1. Inspecting the LULC product available in the datacube

  2. Using the dc.load() function to load in LULC data

  3. Plotting LULC using the plot_lulc() function

  4. An example analysis of the area of LULC classes in a given area

  5. Loading and plotting the ‘cover fractions’ in CGLS


Getting started

To run this analysis, run all the cells in the notebook, starting with the “Load packages” cell.

Load packages

[1]:
%matplotlib inline

import datacube
import numpy as np
import matplotlib.pyplot as plt
import matplotlib.ticker as mticker
from deafrica_tools.plotting import display_map, plot_lulc

Connect to the datacube

[2]:
dc = datacube.Datacube(app="Landcover_Classification")

List measurements

We can inspect the data available for LULC using datacube’s list_measurements functionality. The table below lists the products and measurements available for the two LULC datasets indexed within DE Africa’s datacube. We can see that the product contains one layer named ‘classification’. The datatype is integer, which corresponds to a LULC class.

[3]:
product_name = ['io_lulc_v2', 'esa_worldcover_2020', 'esa_worldcover_2021', 'cgls_landcover', 'cci_landcover']

dc_measurements = dc.list_measurements()
dc_measurements.loc[product_name].drop('flags_definition', axis=1)
[3]:
name dtype units nodata aliases add_offset scale_factor
product measurement
io_lulc_v2 supercell supercell uint8 1 0 [classification] NaN NaN
esa_worldcover_2020 classification classification uint8 1 0 NaN NaN NaN
esa_worldcover_2021 classification classification uint8 1 0 NaN NaN NaN
cgls_landcover classification classification uint8 1 255 [class] NaN NaN
forest_type forest_type uint8 percent 255 [] NaN NaN
classification_probability classification_probability uint8 percent 255 [prob] NaN NaN
bare_cover_fraction bare_cover_fraction uint8 percent 255 [bare] NaN NaN
builtup_cover_fraction builtup_cover_fraction uint8 percent 255 [builtup] NaN NaN
crops_cover_fraction crops_cover_fraction uint8 percent 255 [crops] NaN NaN
grass_cover_fraction grass_cover_fraction uint8 percent 255 [grass] NaN NaN
mosslichen_cover_fraction mosslichen_cover_fraction uint8 percent 255 [mosslichen] NaN NaN
permanentwater_cover_fraction permanentwater_cover_fraction uint8 percent 255 [permanentwater] NaN NaN
seasonalwater_cover_fraction seasonalwater_cover_fraction uint8 percent 255 [seasonalwater] NaN NaN
shrub_cover_fraction shrub_cover_fraction uint8 percent 255 [shrub] NaN NaN
snow_cover_fraction snow_cover_fraction uint8 percent 255 [snow] NaN NaN
tree_cover_fraction tree_cover_fraction uint8 percent 255 [tree] NaN NaN
cci_landcover classification classification uint8 1 0 [class] NaN NaN

Analysis parameters

This section defines the analysis parameters, including:

  • lat, lon, buffer: center lat/lon and analysis window size for the area of interest

  • resolution: the pixel resolution to use for loading the LULC dataset. The native resolution of the product is 10 metres i.e. (-10,10)

  • measurements: the ‘band’ or measurement to load from the product, we can use the native measurement names of one of the aliases

The default location is Madagascar

[4]:
lat, lon = -19.4557, 46.4644

buffer = 5.0

resolution=(-500, 500) #resample so we can view a large area

measurements='classification'

#convert the lat,lon,buffer into a range
lons = (lon - buffer, lon + buffer)
lats = (lat - buffer, lat + buffer)

Load the LULC datasets

First, we’ll load the ESRI Land Cover. For this annual product, the time window listed in the metadata for a year is from 1 Jan to 1 Jan next year, e.g. 2020 data has a start date of 1 Jan 2020 and end date of 1 Jan 2021. We therefore define the query with both year and month to avoid loading data from a neighboring year.

[5]:
#create reusable datacube query object
query = {
    'time': ('2020-07'),
    'x': lons,
    'y': lats,
    'resolution':resolution,
    'output_crs': 'epsg:6933',
    'measurements':measurements
}

#load the data
ds_io = dc.load(product='io_lulc_v2', **query).squeeze()

print(ds_io)
<xarray.Dataset> Size: 5MB
Dimensions:         (y: 2407, x: 1931)
Coordinates:
    time            datetime64[ns] 8B 2020-07-01T23:59:59.997500
  * y               (y) float64 19kB -1.825e+06 -1.826e+06 ... -3.028e+06
  * x               (x) float64 15kB 4.001e+06 4.001e+06 ... 4.965e+06 4.966e+06
    spatial_ref     int32 4B 6933
Data variables:
    classification  (y, x) uint8 5MB 0 0 0 0 0 0 0 0 0 0 ... 0 0 0 0 0 0 0 0 0 0
Attributes:
    crs:           epsg:6933
    grid_mapping:  spatial_ref

Now we can load the esa_worldcover_2020,esa_worldcover_2021, cgls_landcover, and cci_landcover products over the same region.

[6]:
ds_esa_2020 = dc.load(product='esa_worldcover_2020', time='2020', measurements=measurements, like=ds_io.geobox).squeeze()

print(ds_esa_2020)
<xarray.Dataset> Size: 5MB
Dimensions:         (y: 2407, x: 1931)
Coordinates:
    time            datetime64[ns] 8B 2020-07-01T12:00:00
  * y               (y) float64 19kB -1.825e+06 -1.826e+06 ... -3.028e+06
  * x               (x) float64 15kB 4.001e+06 4.001e+06 ... 4.965e+06 4.966e+06
    spatial_ref     int32 4B 6933
Data variables:
    classification  (y, x) uint8 5MB 0 0 0 0 0 0 0 0 0 0 ... 0 0 0 0 0 0 0 0 0 0
Attributes:
    crs:           PROJCS["WGS 84 / NSIDC EASE-Grid 2.0 Global",GEOGCS["WGS 8...
    grid_mapping:  spatial_ref
[7]:
ds_esa_2021 = dc.load(product='esa_worldcover_2021', time='2021', measurements=measurements, like=ds_io.geobox).squeeze()

print(ds_esa_2021)
<xarray.Dataset> Size: 5MB
Dimensions:         (y: 2407, x: 1931)
Coordinates:
    time            datetime64[ns] 8B 2021-07-02
  * y               (y) float64 19kB -1.825e+06 -1.826e+06 ... -3.028e+06
  * x               (x) float64 15kB 4.001e+06 4.001e+06 ... 4.965e+06 4.966e+06
    spatial_ref     int32 4B 6933
Data variables:
    classification  (y, x) uint8 5MB 0 0 0 0 0 0 0 0 0 0 ... 0 0 0 0 0 0 0 0 0 0
Attributes:
    crs:           PROJCS["WGS 84 / NSIDC EASE-Grid 2.0 Global",GEOGCS["WGS 8...
    grid_mapping:  spatial_ref
[8]:
ds_cgls = dc.load(product='cgls_landcover', time='2019', measurements=measurements, like=ds_io.geobox).squeeze()

print(ds_cgls)
<xarray.Dataset> Size: 5MB
Dimensions:         (y: 2407, x: 1931)
Coordinates:
    time            datetime64[ns] 8B 2019-07-02T11:59:59.500000
  * y               (y) float64 19kB -1.825e+06 -1.826e+06 ... -3.028e+06
  * x               (x) float64 15kB 4.001e+06 4.001e+06 ... 4.965e+06 4.966e+06
    spatial_ref     int32 4B 6933
Data variables:
    classification  (y, x) uint8 5MB 200 200 200 200 200 ... 200 200 200 200 200
Attributes:
    crs:           PROJCS["WGS 84 / NSIDC EASE-Grid 2.0 Global",GEOGCS["WGS 8...
    grid_mapping:  spatial_ref
[9]:
ds_cci = dc.load(product='cci_landcover', time='2022', measurements=measurements, like=ds_io.geobox).squeeze()

print(ds_cci)
<xarray.Dataset> Size: 5MB
Dimensions:         (y: 2407, x: 1931)
Coordinates:
    time            datetime64[ns] 8B 2022-07-02T11:59:59.500000
  * y               (y) float64 19kB -1.825e+06 -1.826e+06 ... -3.028e+06
  * x               (x) float64 15kB 4.001e+06 4.001e+06 ... 4.965e+06 4.966e+06
    spatial_ref     int32 4B 6933
Data variables:
    classification  (y, x) uint8 5MB 210 210 210 210 210 ... 210 210 210 210 210
Attributes:
    crs:           PROJCS["WGS 84 / NSIDC EASE-Grid 2.0 Global",GEOGCS["WGS 8...
    grid_mapping:  spatial_ref

Plotting data

We can plot LULC for Madagascar and add a legend which corresponds to the classes using the DE Africa wrapper function plot_lulc. We can see that trees dominate the eastern areas of the island, while scrub/shrub is more prevalent on the western side. We can also identify a few cities/towns with the red ‘built area’ class. You may also notice that the different datasets don’t always agree.

[10]:
fig, ax = plt.subplots(3, 2, figsize=(22, 20), sharey=True)
plot_lulc(ds_io[measurements], product="IO", legend=True, ax=ax[0, 0])
plot_lulc(ds_esa_2020[measurements], product="ESA", legend=True, ax=ax[0, 1])
plot_lulc(ds_esa_2021[measurements], product="ESA", legend=True, ax=ax[1, 1])
plot_lulc(ds_cgls[measurements], product="CGLS", legend=True, ax=ax[1, 0])
plot_lulc(ds_cci[measurements], product="CCI", legend=True, ax=ax[2, 0])
ax[0, 0].set_title("ESRI/IO Land Cover 2020")
ax[0, 1].set_title("ESA WorldCover 2020")
ax[1, 1].set_title("ESA WorldCover 2021")
ax[1, 0].set_title("CGLS landcover 2019")
ax[2, 0].set_title("CCI landcover 2022")
fig.delaxes(ax[2, 1])
plt.tight_layout();
../../../_images/sandbox_notebooks_Datasets_Land_Use_Land_Cover_Maps_24_0.png

Example Analysis: Investigate the area of classes

In this example, we will look more closely at the city of Antananarivo, the capital of Madagascar, which can be seen in red in the map above. We will load all LULC datasets, calculate the area of each class in each product, and compare the area of classes between the products. As we are looking at a smaller area, we can load the datasets at 100m resolution (its good practice to down-sample higher resolution datasets to a coarser resolution than vice-versa). We use the ‘mode’ statistic to down sample the 10m datasets to 100m resolution, this means each pixel will be assigned the most-common class within the 100m metre pixel.

First, let’s set up some new parameters

[11]:
lat, lon =  -18.9028, 47.5203
buffer = 0.1
resolution=(-100,100)
measuremnents='classification'

#add lat,lon,buffer to get bounding box
lon_range = (lon-buffer, lon+buffer)
lat_range =  (lat+buffer, lat-buffer)

View selected location

[12]:
display_map(x=lon_range, y=lat_range)
[12]:
Make this Notebook Trusted to load map: File -> Trust Notebook

Load LULC data for Antananarivo

[13]:
query = {
    "x": lon_range,
    "y": lat_range,
    "resolution": resolution,
    "output_crs": "epsg:6933",
    "measurements": measurements,
}

# load the esri product
ds_io = dc.load(product="io_lulc_v2", resampling='mode',
                time='2020-07', **query).squeeze()

# load the esa 2020 product
ds_esa_2020 = dc.load(product="esa_worldcover_2021", resampling='mode',
                 time='2021', measurements=measurements, like=ds_io.geobox).squeeze()

# load the esa 2021 product
ds_esa_2021 = dc.load(product="esa_worldcover_2020", resampling='mode',
                 time='2020', measurements=measurements, like=ds_io.geobox).squeeze()

# load the cgls product
ds_cgls = dc.load(
    product="cgls_landcover",
    time="2019",
    measurements=measurements,
    like=ds_io.geobox
).squeeze()

# load the cci product
ds_cci = dc.load(
    product="cci_landcover",
    time="2022",
    measurements=measurements,
    resampling='nearest',
    like=ds_io.geobox
).squeeze()

Plot the datasets

[14]:
fig,ax = plt.subplots(3,2, figsize=(22,20), sharey=True)
plot_lulc(ds_io[measurements], product='IO', legend=True, ax=ax[0,0])
plot_lulc(ds_esa_2020[measurements], product='ESA', legend=True, ax=ax[0,1])
plot_lulc(ds_esa_2021[measurements], product='ESA', legend=True, ax=ax[1,1])
plot_lulc(ds_cgls[measurements], product='CGLS', legend=True, ax=ax[1,0])
plot_lulc(ds_cci[measurements], product='CCI', legend=True, ax=ax[2,0])
ax[0,0].set_title('ESRI/IO Land Cover')
ax[0,1].set_title('ESA WorldCover 2020')
ax[1,1].set_title('ESA WorldCover 2021')
ax[1,0].set_title('CGLS Classification 2019')
ax[2,0].set_title('CCI Classification 2022')
fig.delaxes(ax[2, 1])
plt.tight_layout();
../../../_images/sandbox_notebooks_Datasets_Land_Use_Land_Cover_Maps_33_0.png

Calculate the area of each class

We can use the numpy np.unique function to return the pixel count for each class.

[15]:
ds_io_counts = np.unique(ds_io[measurements].data, return_counts=True)
ds_esa_2020_counts = np.unique(ds_esa_2020[measurements].data, return_counts=True)
ds_esa_2021_counts = np.unique(ds_esa_2021[measurements].data, return_counts=True)
ds_cgls_counts = np.unique(ds_cgls[measurements].data, return_counts=True)
ds_cci_counts = np.unique(ds_cci[measurements].data, return_counts=True)


print(ds_io_counts)
(array([ 1,  2,  4,  5,  7,  8, 11], dtype=uint8), array([ 1360,   306,  2312,  8052, 23874,   130, 10672]))

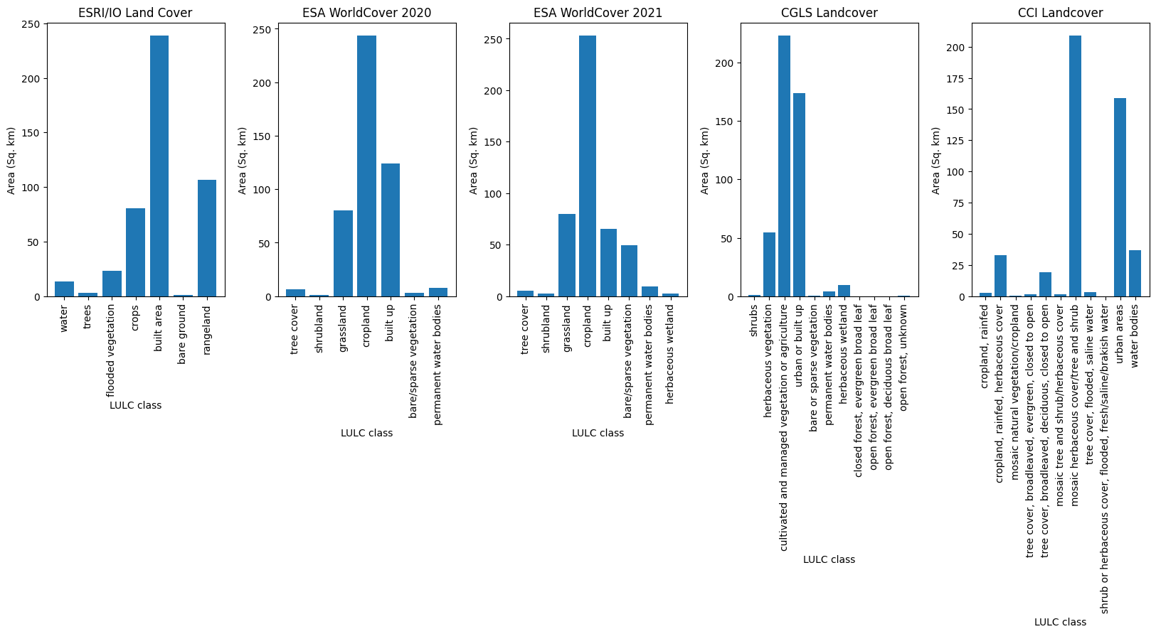
We can see above that result is an array with classes 1:11 which corresponds to water through to rangeland, and the count of pixels within these classes. Using the resolution we set in our data loading query, we can calculate the total area of each class in square kilometres and plot the results. Does the plot align with the proportions of classes we can visualise in the map of Antananarivo?

For more information on area calculations see the water extent calculation section of the Digital Earth Africa Sandbox training course.

[16]:
pixel_length = query["resolution"][1]  # in metres, refers to resolution we defined above (-10,10) for Antananarivo
m_per_km = 1000  # conversion from metres to kilometres
area_per_pixel = pixel_length**2 / m_per_km**2

#calculate the area of each class
ds_io_area = np.array(ds_io_counts[1] * area_per_pixel)
ds_esa_2020_area = np.array(ds_esa_2020_counts[1] * area_per_pixel)
ds_esa_2021_area = np.array(ds_esa_2021_counts[1] * area_per_pixel)
ds_cgls_area = np.array(ds_cgls_counts[1] * area_per_pixel)
ds_cci_area = np.array(ds_cci_counts[1] * area_per_pixel)

Plot the area of each class

In the plot below, are the proportions of classes similar between the products? What are the classes that typically show confusion?

[17]:
# list of classes actually in the map by extracting from the `flags_definition`
io_classes = [ds_io.classification.flags_definition['data']['values'][str(x)] for x in ds_io_counts[0]]
esa_classes_2020 = [ds_esa_2020.classification.flags_definition['data']['values'][str(x)] for x in ds_esa_2020_counts[0]]
esa_classes_2021 = [ds_esa_2021.classification.flags_definition['data']['values'][str(x)] for x in ds_esa_2021_counts[0]]
cgls_classes = [ds_cgls.classification.flags_definition['data']['values'][str(x)] for x in ds_cgls_counts[0]]
cci_classes = [ds_cci.classification.flags_definition['data']['values'][str(x)] for x in ds_cci_counts[0]]
[18]:
fig,ax=plt.subplots(1,5, figsize=(20,5))

#plot esri
ax[0].bar(io_classes, ds_io_area)
ticks_loc = ax[0].get_xticks()
ax[0].xaxis.set_major_locator(mticker.FixedLocator(ticks_loc))
ax[0].set_xticklabels(io_classes, rotation=90)
ax[0].set_xlabel("LULC class")
ax[0].set_ylabel("Area (Sq. km)")

#plot esa worldcover 2020
ax[1].bar(esa_classes_2020, ds_esa_2020_area)
ticks_1 = ax[1].get_xticks()
ax[1].xaxis.set_major_locator(mticker.FixedLocator(ticks_1))
ax[1].set_xticklabels(esa_classes_2020, rotation=90)
ax[1].set_xlabel("LULC class")
ax[1].set_ylabel("Area (Sq. km)")

#plot esa worldcover 2021
ax[2].bar(esa_classes_2021, ds_esa_2021_area)
ticks_1 = ax[2].get_xticks()
ax[2].xaxis.set_major_locator(mticker.FixedLocator(ticks_1))
ax[2].set_xticklabels(esa_classes_2021, rotation=90)
ax[2].set_xlabel("LULC class")
ax[2].set_ylabel("Area (Sq. km)")

#plot cgls
ax[3].bar(cgls_classes, ds_cgls_area)
ticks_2 = ax[3].get_xticks()
ax[3].xaxis.set_major_locator(mticker.FixedLocator(ticks_2))
ax[3].set_xticklabels(cgls_classes, rotation=90)
ax[3].set_xlabel("LULC class")
ax[3].set_ylabel("Area (Sq. km)")

#plot cci
ax[4].bar(cci_classes, ds_cci_area)
ticks_2 = ax[4].get_xticks()
ax[4].xaxis.set_major_locator(mticker.FixedLocator(ticks_2))
ax[4].set_xticklabels(cci_classes, rotation=90)
ax[4].set_xlabel("LULC class")
ax[4].set_ylabel("Area (Sq. km)")

# Adjust spacing between subplots
plt.subplots_adjust(wspace=0.3)

ax[0].set_title('ESRI/IO Land Cover')
ax[1].set_title('ESA WorldCover 2020')
ax[2].set_title('ESA WorldCover 2021')
ax[3].set_title('CGLS Landcover')
ax[4].set_title('CCI Landcover 2022');
../../../_images/sandbox_notebooks_Datasets_Land_Use_Land_Cover_Maps_41_0.png

Explore CGLS cover fraction

In the above analysis we can see that the CGLS product classifies a lof of the area in our Antananarivo bounds as ‘urban or built up’. Let’s see how this relates to the builtup cover fraction measurement in the CGLS product.

The cover fraction measurements in CGLS express the percentage of the pixel that is covered by a specific class of land cover, in this case urban or built-up. We can see below that the percentage cover of urban or built-up area corresponds spatially to the landcover classification.

[19]:
#load the cgls product
ds_cgls_urbancover = dc.load(product='cgls_landcover', time='2019', measurements='builtup_cover_fraction', like=ds_cgls.geobox).squeeze()

#plot the dataset
fig,ax = plt.subplots(1,2, figsize=(24,9), sharey=True)
ds_cgls_urbancover.builtup_cover_fraction.plot(ax=ax[0])
plot_lulc(ds_cgls[measurements], product='CGLS', legend=True, ax=ax[1])

ax[0].set_title('Built-up cover %')
ax[1].set_title('CGLS Landcover')
plt.tight_layout();
../../../_images/sandbox_notebooks_Datasets_Land_Use_Land_Cover_Maps_43_0.png

Additional information

License The code in this notebook is licensed under the Apache License, Version 2.0.

Digital Earth Africa data is licensed under the Creative Commons by Attribution 4.0 license.

Contact If you need assistance, please post a question on the DE Africa Slack channel or on the GIS Stack Exchange using the open-data-cube tag (you can view previously asked questions here).

If you would like to report an issue with this notebook, you can file one on Github.

Compatible datacube version

[20]:
print(datacube.__version__)
1.8.20

Last tested:

[21]:
from datetime import datetime
datetime.today().strftime('%Y-%m-%d')
[21]:
'2025-10-02'